摘要
低成本钠离子电池(SIBs)是大规模电网储能领域的明星产品,而寻找适配的负极材料对其发展至关重要。本研究报道了一种新型二维(2D)纳米结构负极材料,其由TiO₂/C纳米圆盘与镍纳米颗粒组成,通过简便的金属有机框架衍生法制备而成。在合成过程中引入二价Ni²⁺离子,成功将TiO₂/C微米块转化为理想的2D纳米圆盘结构。这种结构因具有短扩散路径和大量暴露的活性位点,使活性材料得以更高效、更充分地利用。Ni²⁺离子的另一重要作用是作为TiO₂的掺杂源,诱导形成缺陷丰富的近非晶TiO₂/C结构,从而改善反应动力学。此外,部分镍纳米颗粒形成并附着于TiO₂/C纳米圆盘表面,不仅作为导电桥确保所有纳米圆盘的电化学活性,还起到支柱作用防止其堆叠。这种独特的2D纳米结构负极材料表现出高可逆容量、优异的循环性能和出色的倍率性能。本研究为可控合成储能用二维纳米材料提供了新思路。
文章简介

图3A展示了TC(未改性TiO₂/C)与N-TC(镍改性TiO₂/C)的XRD衍射图谱。TC的所有衍射峰均可归属为锐钛矿型TiO₂(JCPDS No. 21-1272),而N-TC样品中这些特征峰几乎消失,表明Ni²⁺离子通过掺杂效应显著降低了TiO₂的结晶度。值得注意的是,N-TC图谱中出现了金属镍的特征峰,证实部分Ni²⁺离子被还原为单质镍。图3B的拉曼光谱显示,相较于TC,N-TC中锐钛矿TiO₂的Eg(1)、Eg(2)、B1g和Eg(3)振动模式均减弱,进一步佐证了Ni²⁺引入导致的结晶度下降。所有样品在1350 cm⁻¹和1588 cm⁻¹处均检测到分别对应sp³型与sp²型碳的D带和G带。值得注意的是,N-TC的D/G峰强度比(Id/Ig)从TC的0.98升至1.07,表明镍改性样品中存在更多缺陷。
图3C的氮气吸脱附等温线显示,10N-TC的滞后环较TC明显收缩,暗示介孔体积因TiO₂非晶化膨胀而锐减。10N-TC的孔体积(0.07 cm³ g⁻¹)和比表面积(20 m² g⁻¹)均显著小于TC(0.18 cm³ g⁻¹,43 m² g⁻¹)。其宽泛的孔径分布(图3C插图)则归因于镍纳米颗粒的支柱效应在TiO₂/C纳米圆盘间形成的空隙。
TEM分析进一步揭示10N-TC的微观结构(图3D)。镍纳米颗粒与TiO₂/C纳米圆盘交织形成松散但导电网络完整的结构。高倍TEM(图3E)清晰显示堆叠的TiO₂/C纳米圆盘由10-30 nm的镍纳米颗粒支撑(图3F)。对比显示,5N-TC含少量镍颗粒,而15N-TC因过量镍颗粒脱落导致结构松散(见附图S1)。HRTEM(图3G)证实镍颗粒的晶面间距为0.2 nm,与金属Ni(111)晶面吻合,而TiO₂/C区域未观察到明显晶格条纹,表明其处于非晶/近非晶态。通过对比TC与10N-TC的HRTEM(附图S3)发现,镍掺杂导致TiO₂晶格畸变和原子缺失,有效抑制晶粒生长,从而降低结晶度。这种富含缺陷的非晶结构不仅能提供Na⁺扩散通道,还因较低的Na⁺嵌入能增强赝电容存储能力,从而改善动力学性能。
图3H的HAADF-STEM及EDX元素分布图表明,C、Ti、O、N元素均匀分布于纳米圆盘,而Ni元素同时存在于圆盘和颗粒中,证实镍以掺杂态和单质态共存

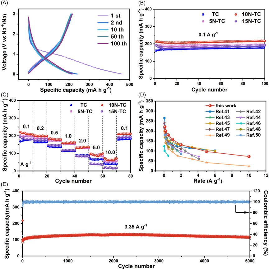
这种具有缺陷及近非晶结构的镍改性TiO₂/C纳米圆盘有望实现优异的储钠性能。图5A展示了10N-TC在0.1 A g⁻¹电流密度下的充放电曲线,其平滑的斜坡曲线体现了典型的赝电容固溶体过程。10N-TC首次放电/充电比容量分别为462/240 mAh g⁻¹,初始库伦效率(ICE)达52%。不可逆容量的产生源于电极表面固态电解质界面层(SEI)的形成及副反应。相比之下,TC的ICE仅为47%(见附图S1)。10N-TC的ICE提升归因于其孔体积和比表面积的减小,而通过预钠化、粘结剂和电解液优化还可进一步提高ICE值。后续循环中,10N-TC的充放电曲线几乎完全重叠,库伦效率接近100%,表明电极具有优异的可逆性。
为突显10N-TC二维纳米结构的储钠优势,我们对比了其与TC、5N-TC、15N-TC的循环和倍率性能。图5B显示,在0.1 A g⁻¹电流密度下循环100次后,10N-TC以217 mAh g⁻¹的可逆容量位居首位,证实其独特结构能有效提升可用容量。除高可逆容量外,10N-TC还展现出卓越的倍率性能(图5C):在所有测试电流密度下均保持最高容量,且当电流密度从10.0 A g⁻¹回调至0.1 A g⁻¹时仍能保持212 mAh g⁻¹的高容量。通过与近期报道的TiO₂基负极材料对比(图5D),10N-TC的倍率性能达到国际先进水平。
更令人瞩目的是,10N-TC在3.35 A g⁻¹高电流密度下循环5000次后(图5E),仍保持115 mAh g⁻¹的可逆容量,容量保持率和库伦效率均接近100%。循环后形貌分析(见附图S6)显示,10N-TC能完整保持原始结构,镍纳米颗粒仍均匀分布于纳米圆盘表面,证实电极具有出色的结构稳定性。上述结果表明,10N-TC在钠离子电池领域具有重大开发价值与应用潜力。
结论
本研究报道了一种简便的金属有机框架(MOFs)衍生法,用于可控合成具有缺陷及近非晶结构的镍改性TiO₂/C纳米圆盘。通过引入Ni²⁺离子,成功将TiO₂/C微米块转化为理想的二维纳米圆盘结构,其短离子扩散路径和大量暴露的活性位点显著提升了活性材料的利用效率。研究发现,大部分Ni²⁺离子掺杂进入TiO₂晶格,大幅降低了TiO₂的结晶度并增加氧空位浓度;残余镍离子则被还原为金属纳米颗粒,锚定在TiO₂/C纳米圆盘表面,既赋予材料整体导电性,又有效防止纳米圆盘堆叠。得益于这种独特的二维缺陷型近非晶纳米结构,镍改性TiO₂/C纳米圆盘展现出卓越的钠离子存储性能:在0.1 A g⁻¹电流密度下具有217 mAh g⁻¹的高可逆容量,超过5000次循环后容量保持率仍达100%,同时表现出优异的倍率性能。该研究不仅为二维纳米材料的可控合成提供了新范式,在储能领域更具广阔应用前景。
论文信息
Nickel modified TiO2 /C nanodisks with defective andnear‐amorphous structure for high‐performance sodium‐ion batteries
Daijie Zhang | Hui Xu